书馆banner

您的位置:首页 > 书馆 > 工程档案

基于图机器视觉的山岭隧道掌子面节理裂隙检测方法研究进展综述

作者:陈志新, 肖勇卓, 蔡永昌, 张运波   来源:现代隧道技术  发布:2026/1/4  浏览: + 放大字体 | - 减小字体

摘 要:图机器视觉技术因其简便、高效的特点,在隧道掌子面节理裂隙检测中具有显著优势。围绕数字图像处理和深度学习两种主流方法,系统综述其研究进展。首先,详细阐述数字图像处理方法在隧道节理裂隙检测中“图像预处理-节理裂隙分割-骨架提取”各环节具体采用的算法,总结其在隧道复杂环境下存在的局限性;其次,分析深度学习方法中常用的分类模型与语义分割模型在该任务中的应用场景;然后,阐释掌子面真实尺寸的计算方式以及节理裂隙产状参数、迹线长度、间距和分组的计算方法;最后,提出未来应以语义分割模型为主干,融合数字图像技术的骨架化计算方法,深化图像三维重建理论研究,提升节理裂隙三维特征的计算效率,提高检测精度,推动图机器视觉技术更好地服务于隧道施工建设。

1 引 言

山岭隧道钻爆法施工过程中,快速、准确探明掌子面及前方地质条件一直是工程建设的重点工作,这是因为掌子面地质条件直接影响开挖工法、爆破设计和支护方案的选取,关系着施工安全。因此,在施工过程中必须持续开展掌子面地质编录工作,以掌握掌子面及前方地层节理裂隙发育特征、围岩强度和地下水等地质参数情况,并据此评定围岩级别。其中,准确描述掌子面节理裂隙的分布区、产状、间距、迹长等特征参数尤为重要。传统节理裂隙发育特征检测工作主要由专业技术人员借助量尺、指南针等简易工具结合目测的方法开展,但该方法面临掌子面落石风险,且难以准确测量高处的节理裂隙。传统地质编录方式普遍存在着风险高、测量精度有限、测量耗时长等问题,亟需引入其他技术手段。

20 世纪 50 年代出现了数字图像处理技术,以人机交互的方式辅助人们完成相关工作;70 年代末,英国心理学家 Marr 提出视觉计算理论,使视觉信息处理的研究变得十分严谨,为机器视觉技术的发展奠定了基础。随着计算机技术、摄影测量技术等新兴技术的发展,图机器视觉技术逐渐应用于各行各业。在隧道工程领域,机器视觉技术也被引入地质编录工作,在隧道掌子面节理裂隙检测中,通常由技术人员拍摄掌子面图像,借助图像处理算法识别节理裂隙。该方法具有显著的安全性和时效性,但受限于图像的二维属性,其在特征参数计算精度方面具有一定的局限性。

为获取高精度的节理裂隙特征参数,研究人员尝试采用三维激光扫描、多视角三维重建等技术采集隧道掌子面表面信息并构建点云模型,进而通过聚类算法、区域生长算法、曲面拟合算法等处理掌子面三维点云数据,以获取节理裂隙分布情况。与图像技术相比,该类方法基于三维信息可获取更高精度的节理裂隙特征参数,但激光扫描技术需较长的扫描时间,三维重建技术需较长预处理时间将多幅图像重建形成隧道掌子面点云数据,整体处理效率较低。此外,三维重建技术依赖于像素点虚拟距离计算生成三维点云坐标,其在三维点云重建精度以及数据处理效率方面仍需进一步提升;而点云识别主要依赖节理平面计算,更适用于裸露节理裂隙面的识别,对隐伏节理裂隙线的识别能力有限。

掌子面地质编录工作核心目的之一是为隧道爆破施工提供可靠依据。然而,由于施工工序衔接紧凑,编录工作被要求尽可能缩短作业时间,这在一定程度上限制了激光扫描与三维重建技术在循环爆破施工中的实际应用。近年来,随着数字图像处理技术的迅速发展和深度学习算法的不断突破,基于图机器视觉的节理裂隙识别方法在准确性和效率方面均取得显著提升。将该方法部署于边缘计算设备后,可实现掌子面节理裂隙的实时识别,并结合围岩强度测定、地下水发育程度判识等手段,实现对围岩级别的快速判断,从而为下一循环的爆破施工提供有效支撑。尽管该技术在二维信息表达方面仍存在一定局限,但凭借其高效与准确的优势,已成为地质编录研究的热点方向。

综上所述,如何简便、快速、准确地获取节理裂隙信息是当前研究的重点。因此,本文综合分析国内外基于图机器视觉技术的隧道掌子面节理裂隙检测方法,对数字图像处理方法和深度学习方法的具体实现策略进行评述,总结基于图像的节理裂隙间距、产状等特征参数计算方法,并对未来研究方向进行展望。

2 数字图像处理方法

目前,基于图机器视觉技术的隧道掌子面节理裂隙检测方法主要分为两种:数字图像处理方法与深度学习方法。其中,数字图像处理技术应用较早, 如 Ross-Brown 等将其应用于露天矿山岩体裂隙检测,Hagan于1980年将该技术引入到矿山隧道岩体节理裂隙检测。自 20 世纪 80 年代起,自动提取图像特征的方法逐渐出现;90年代,Harrison提出采用高斯滤波算法剔除图像噪声,增强图像节理裂隙与岩体的对比度,再采用自适应灰度级阈值算法分割节理裂隙;随后利用二元膨胀算法和中值平滑滤波器拓宽节理裂隙的像素宽度,连接部分断裂的隙,并采用细化算法将节理裂隙的像素宽度缩减为 1,得到节理裂隙初步骨架图;进一步构建 5×5 的基础领域检索窗口,基于窗口尺寸、搜索方向及像素灰度级的直方图等参数实现断裂节理裂隙的完整连接,如图 1 所示。由此可见,“图像预处理-节理裂隙分割-骨架提取”的节理裂隙检测流程已经形成。 进入 21 世纪后,众多研究人员沿袭该检测流程开展了大量隧道掌子面节理裂隙检测研究,所采用的方法归纳见表1。

图 1 早期的节理裂隙检测流程

由表 1 可知,在隧道围岩节理裂隙检测的图像预处理中,通过净化隧道掌子面与施工环境或控制拍摄方式可以增强节理裂隙与岩石的对比度,而图像增强算法是该环节的研究重点。其中,中值滤波算法因其非线性滤波去噪的优点,能有效增强节理裂隙边缘与岩石的灰度差异,应用较为广泛。四点领域平均平滑算法、分数阶微分模板增强算法、 伽马函数等方法同样具备非线性滤波去噪能力, 近年来也成为图像增强的热门算法,但因参数调试复杂,导致相关方法推广应用受限。

在节理裂隙分割环节,通常先采用边缘检测算法检测出节理裂隙边缘像素点,再利用阈值分割算法将灰度值低于阈值的像素点剔除,从而实现节理裂隙线与背景的分离。Canny 算子和 Steger 算子在边缘检测效果方面优于 Sobel、Prewitt 算子和 Roberts 算子。在阈值分割方面,除了常用的二值化分割方法外,区域生长算法表现了更优的分割效果,但需设定准确的生长准则阈值。

表 1 基于数字图像处理的隧道节理裂隙检测方法

在骨架提取环节,主要采用膨胀算法和细化算法将分割出来的节理裂隙线转化为单像素宽度的骨架线,然后利用相关算法将细化过程中断裂的节理裂隙线连接形成完整的节理裂隙线,因此该环节的研究重点在于实现节理裂隙的完整重建。考虑大部分节理裂隙在图像中呈现直线特征,该环节普遍采用基于霍夫变换算法的线性检测方法。霍夫变换将图像空间中的点映射至极坐标参数空间,通过检测参数空间中的峰值来确定图像中的直线。该算法可以提取出符合线状特征的节理裂隙线,然后利用连通域算法将符合设定距离阈值与角度阈值的直线段进行连接。

受构造运动影响,隧道掌子面也存在着非线性节理裂隙,相关研究人员提出了两种方法用于提取非线性节理裂隙:一是采用人工神经网络、支持向量机等算法识别非线性节理裂隙,并以角度阈值控制连接非线性节理裂隙线,其计算原理与流程如图 2 所示;二是通过计算相邻节理裂隙线的曲率,根据设定的曲率阈值连接符合要求非线性节理裂隙线。

基于数字图像处理技术可实现节理裂隙的半自动提取,但需针对各环节的核心参数进行调整。例如,图像预处理中高斯滤波算法需合理设置标准差与滤波器尺寸才能使节理裂隙与岩体的特征差异较大;Canny 算子需根据裂隙与岩体的灰度差异设置高、低阈值,从而提取出节理裂隙骨架所处区域;霍夫变换则需设置距离阈值、角度阈值、最小线段长度等参数,以提取符合要求的直线式节理裂隙线。这类方法多适用于成像质量较好的掌子面环境。然而,隧道钻爆施工节奏紧凑,施工人员难以快速彻底清除掌子面的水雾和灰尘,加之掌子面凹凸不平,易导致光照不均,造成图像模糊、细节丢失、局部过曝或过暗、阴影重叠等问题。上述因素易引起节理裂隙边缘模糊、纹理弱化、噪点增多及节理形态畸变等,导致图像增强困难、阈值分割偏差和噪点误判, 最终表现为节理裂隙线识别不完整或非节理裂隙区域误检。为此,研究人员逐渐转向更为智能的深度学习算法,以期提高节理裂隙检测的精度和效率。

图 2 基于角度控制的节理裂隙线分段连接方法

3 深度学习方法

2006 年,Geoffrey 等提出了深度学习理论,之后基于深度学习的图机器视觉技术逐渐发展成为图像处理领域的研究热门,并在隧道养护方面获得广泛应用。在此背景下,不少学者将其应用在掌子面节理裂隙的检测中,所采用的深度学习方法主要包括分类模型和语义分割模型,通常通过改进已有的深度学习模型对采集的样本数据集图像进行学习,具体所用模型及数据样本量见表2。

基于分类模型的掌子面节理裂隙检测方法主要用于评估节理裂隙的发育程度,其分类精度和分类数量多取决于数据规模与类别划分。该模型通常以掌子面局部区域图像作为输入,且不需要对图像中的节理裂隙线区域进行标记。因此,分类模型并未直接实现节理裂隙检测,需要在完成节理裂隙发育判定后,借助数字图像处理方法作进一步处理,其典型流程如图 3(a)所示。

基于语义分割模型的掌子面节理裂隙检测方法可以定位节理裂隙在图像中的具体位置,因此要求其数据集图像标记节理裂隙线。数据集图像可以是完整的掌子面图像,也可以是局部掌子面图像。若采用局部掌子面图像,需要在检测后利用拼接算法或根据裁剪拓扑关系将其拓展为完整的掌子面图像。此外,模型检测结果同样需要利用数字图像处理技术进行节理裂隙骨架提取与断裂节理裂隙线连接,典型的计算流程如图3(b)所示。

由于各类模型所采用的节理裂隙标签数据集各不相同,表 2 中各项指标仅反映模型在对应数据集上的表现,并不能代表深度模型对所有节理裂隙的处理性能。此外,基于掌子面局部图像所构建的节理裂隙分割模型各项识别指标较优,而基于完整掌子面图像的模型各项指标略低,其原因在于局部图像可在拍摄时优化拍摄参数以获取优质的节理裂隙线,而完整掌子面照片因拍摄范围大、环境复杂,易出现局部区域模糊或畸变等情况,导致其性能指标有所下降,但其抗干扰能力相对更强。

与分类模型相比,语义分割模型可以实现自动、 高效率、高精度的节理裂隙检测。然而,隧道掌子面 施工现场往往存在着大量灰尘、水雾及光照不均等问题,造成所采集的图像清晰程度不足,严重影响节理裂隙检测精度。为提高模型在复杂环境下的性能,研究人员引入了多种新兴技术对既有模型进行改进。Lei 等引入了 Transform 注意力机制以增强对重要区域图像特征的提取能力 ,相对于传统MASK R-CNN 模型,检测能力提升了 11.0%。Zhao 等采用 BiFrPN 双向特征细化金字塔网络提炼不同尺度特征融合信息,增强多尺度信息的表达能力,相较于 Segformer 模型和 DeeplabV3+模型,检测精度提升 3% 以上。此外,通过增加光照不均、灰尘影响等不良施工环境下的掌子面图像,可以让模型在特征提取过程中更加关注节理裂隙的结构性、拓扑一 致性等特征,而非依赖理想环境图像的浅层强对比或纹理细节,有助于模型学习更具迁移能力和领域不变的特征表示,从而增强模型在“噪声”干扰与视觉退化条件下的鲁棒性,更好地适应复杂隧道施工环境。

表 2 基于深度学习的隧道掌子面节理裂隙检测方法统计

图 3 基于深度学习的节理裂隙识别流程

4 基于图像的特征参数计算

4.1 真实尺寸计算

基于节理裂隙的检测结果,需进一步计算其产状、间距、迹长、分组等参数信息。首先计算出单个像素的真实尺寸,然后根据真实尺寸计算出节理裂隙各个点的相对三维坐标,进而基于坐标数据计算各个特征参数。

综合相关文献,对掌子面图像单个像素真实尺寸的计算可以分为 3 种,具体计算方式如下:

(1)物像关系法

物像关系法基于相机成像原理,通过相机传感器尺寸与拍摄距离的比例关系计算单个像素的尺寸。该方法要求相机配置测距仪器,以测定相机焦点至图像平面的距离 D,其计算原理如图 4 所示。

图 4 物像关系法计算原理

具体单个像素的尺寸 η 计算公式如下:

式中:D为图像平面到相机焦点的拍摄距离(mm);f为照相机的焦距(mm);RI1 为图像像素行数;h为CMOS传感器的高度(mm)。

(2)标定法

标定法通过在掌子面布置固定尺寸标定物或固定距离的标定点,根据标定尺寸与图像中的像素尺寸
计算出单个像素的尺寸η,可以参考式(2)进行计算:

式中 :L 为标定物的尺寸或两个标定点的距离 ;( x1,y1),( x2,y2) 为标定物两侧端点或两个标定点在图像中的像素坐标。

在实际工程中,黄宏伟等通过在掌子面布置固定尺寸的卷尺计算像素点的尺寸;Leng 等在掌子面标记标定点,通过测定标定点的距离计算单个像素的尺寸。

(3)双目相机法

双目相机根据两台相机的固定距离,结合视差法与几何关系计算单个像素点尺寸。具体原理是通过两台相机同步拍摄同一掌子面,获取不同视角下的掌子面图像,然后基于三角测量原理及相机相对位置与图像中的像素位置,计算出掌子面的深度信息。进而结合相机的视场角,可推导出图像中单个像素对应的实际尺寸。

周春霖等、李术才等通过双目相机拍摄掌子面图像,利用人工交互的形式提取出节理裂隙线, 并基于双目视觉技术获取像素点的三维坐标,进而计算出节理裂隙的产状,量化岩体结构特征。

上述 3 种方法均可用于计算单个像素的真实尺寸,但需在拍摄前通过棋盘标定板进行相机标定,获取相机内外参矩阵及畸变系数以校正图像畸变。此外,为计算节理裂隙产状,须获得像素点的三维坐标,因此需要计算图像的深度信息,以相机位置为基准计算出掌子面各个像素点的相对三维坐标。从原理上比较,双目相机法通过立体视觉直接获取深度数据,其三维坐标计算精度显著优于其他两种方法,更适用于工程场景需求。

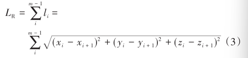
4.2 迹线长度计算

迹线由岩体表面与节理裂隙所处结构面相交形成,其长度即掌子面上构成节理裂隙的相邻点间距的总和。迹线长度 LR可以参考式(3)计算:

式中:m 为组成节理裂隙的像素点数量;li 为节理裂隙中相邻的 Pi 点与 Pi+1 点的距离,其中,Pi 坐标为( xi,yi,zi),Pi+1坐标为( xi + 1,yi + 1,zi + 1)。

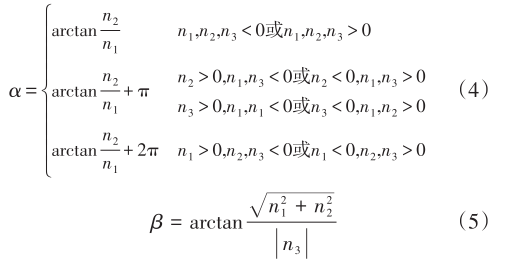
4.3 产状计算方法

基于图像的节理裂隙产状计算一般可采用三点法或四点法,其原理是通过节理裂隙线上至少 3 个点建立平面方程,然后由平面法向量计算平面的产状参数。三点法计算产状参数示意如图 5 所示。

已知迹线上任意三点的坐标分别为P1 ( x1,y1,z1)、P2 ( x2,y2,z2)和 P3 ( x3,y3,z3),可计算出两点连线的方向向量为 P1 P2 = ( x2 - x1,y2 - y1,z2 - z1)和P1 P3 = ( x3 - x1,y3 - y1,z3 - z1)。三点所确定平面的法向量与平面内任意一条直线垂直,据此可计算出平面的法向量为 。进而计算出结构面的倾向 α、倾角β,计算方式如下:

图 5 三点法计算产状参数示意

对于四点法及多点法,通常采用最小二乘法、 RANSAC 法等拟合算法,根据节理裂隙点集构建平面 ,进而计算平面法向量 ,计算原理与三点法相同。

除基于单幅掌子面图像计算节理裂隙的产状参数外,还可参考文献提出的隧道掌子面三维重建方法计算产状参数(图 6),即通过连续采集多幅掌子面图像,结合线性插值与样条插值算法构建伪3D 隧道模型,进而利用多个掌子面中同一节理裂隙的特征点构建出节理裂隙平面,并计算出平面法向量,确定其倾向、倾角。

图 6 基于样条插值的掌子面节理裂隙三维重建图

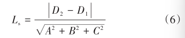
4.4 间距计算方法

节理裂隙间距是指同一组内相邻节理裂隙所处平面的垂直距离,因此需先对节理裂隙进行分组。 分组提出是依据结构面的产状、形成时期、粗糙度等属性进行综合判定,但因部分指标难以测量,实际多以可精确计算的产状参数作为主要分组依据。由于结构面成因复杂,掌子面上节理裂隙的分布虽有一 定规律,但也表现出不确定性,故同一组内节理裂隙的产状参数也不尽相同 。针对该问题 ,Hammah 等提出了基于模糊 C 均值聚类算法的产状数据驱动分组方法。后续有研究以该算法为基础,引入元启发算法对其进行优化,以期提高节理裂隙分组的准确性。

在完成节理裂隙分组后,可根据 4.3 节计算方法构建节理裂隙所处结构面的平面方程 Ax + By +
Cz + D1 = 0,以及相邻节理裂隙所处结构面的平面方程Ax + By + Cz + D2 = 0,两个结构面的垂直距离即为节理裂隙的间距 Ls,计算公式如下:

此外,野外地质勘查中常采用测线法测量节理裂隙的间距,即以测线长度除以该组节理裂隙的数量,得到该组节理裂隙的平均间距。陈建琴等将该方法应用于节理裂隙间距测量,通过在掌子面绘制测线,统计节理裂隙线与测线的交点,并以相邻交点之间的距离作为节理裂隙的间距。

5 节理裂隙检测方法的应用与展望

5.1 应用研究

随着掌子面节理裂隙检测技术的不断发展和完善,其在隧道施工中的应用日益受到关注。基于掌子面节理裂隙及其特征参数的检测结果,可计算对应的 RQD 值与 Jv值,进一步结合其他围岩地质参数并采用 RMR、BQ等围岩分级法,可评价围岩级别与质量,为施工安全风险评价、爆破方案设计、支护方案设计等提供依据。此外,将节理裂隙检测结果与数值仿真技术相结合也成为应用研究的热点。例如,朱合华将节理裂隙检测结果与三维 DDA 软件结合,评估了隧道施工落石风险。黄宏伟等将节理裂隙检测结果重构于 3DEC 模型中,进而分析了围岩变形与隧道开挖安全系数。叶海旺等利用 MATLAB 软件将节理裂隙检测数据导入 LS- DYNA 软件,研究了节理裂隙发育程度对围岩爆破损伤以及爆破块度分布的影响。

5.2 存在的问题

尽管节理裂隙检测方法在隧道施工中的应用已取得显著进展,但当前方法仍存在若干问题,可能影响其精确性与实际效果。首先,数字图像处理技术依赖较强的人工干预,需凭借经验选择关键参数才能从局部图像中有效识别节理裂隙,具有一定主观性与局限性,且整体编录工作仍普遍需人机交互完成。以语义分割为代表的深度学习算法能够较准确、自动地识别掌子面节理裂隙分布,但在骨架化阶段仍依赖数字图像处理方法,限制了其自动化与效率水平,同时该方法计算需求较高,常需部署高功耗边缘计算设备。

其次,隧道施工现场常存在大量灰尘、水雾及光照不均等复杂环境干扰,对检测模型的鲁棒性提出较高要求。现有模型在面对此类干扰时,识别性能与抗干扰能力仍显不足,影响检测结果的准确性与稳定性。

此外,基于图像的节理裂隙识别仍停留在二维层面,难以充分还原其三维结构,导致特征参数(如产状和分组)的计算精度有限。尽管三维重建技术可提供更准确的三维坐标信息,但需对整个掌子面进行重建,且依赖人工标识或点云自动检测裸露裂隙面,虽提升精度,却显著降低了计算效率。

因此,尽快突破上述技术瓶颈,提升检测方法的自动化程度与精度,对隧道施工安全评价与方案设计具有重要意义。

5.3 展 望

随着语义分割模型在节理裂隙检测中的广泛应用,未来研究应进一步优化深度学习算法,将数字图像处理中的节理裂隙骨架提取与完整节理裂隙线重建等步骤集成于一体,实现节理裂隙骨架线的全自动检测,以提高检测效率与准确性。同时,为提升模型在隧道恶劣环境下的适应性,应扩充涵盖复杂施工条件的图像样本库,增强算法对噪声、遮挡和光照变化的鲁棒性,强化其对关键特征区域感知能力。 为推进节理裂隙检测模型在现场的实际应用,有必要开发专用软件系统以及配套的边缘计算设备(如 Jetsons 服务器),实现掌子面数据实时采集与分析。

此外,未来的研究应进一步探索图像三维重建技术,尤其是双目相机在三维重建中的应用。通过深入解析相机标定、深度计算、尺寸恢复等关键步骤,减少非节理裂隙像素点的冗余计算,实现从节理裂隙像素到三维坐标的快速映射,并进一步计算产状参数和分组信息,提升节理裂隙特征参数的检测与计算效率。

6 结 语

本文通过调研基于图机器视觉的隧道掌子面节理裂隙检测技术的研究现状,分析了数字图像处理方法与深度学习方法在节理裂隙检测方面的适用条件及优缺点,阐述了节理裂隙特迹线长度、产状、间距等特征参数的计算方法,展望了未来节理裂隙检测的研究方向。

(1)明晰了数字图像处理技术在掌子面节理裂隙检测中的流程,详细阐述了图像预处理、节理裂隙分割、骨架提取三个环节采取的算法,指出了现有研究应用于隧道现场时可能存在的问题及缺陷。

(2)分析了深度学习方法在节理裂隙检测应用中的算法类型,总结了分类模型和语义分割模型的应用场景,指出了提高检测精度的研究方向。

(3)总结了掌子面图像真实尺寸的计算方法, 系统阐述了节理裂隙迹线长度、产状、间距以及分组的计算方法。

(4)针对隧道施工现场灰尘弥漫、光照不均等复杂环境,提出以语义分割模型为框架,融合数字图像技术的骨架化计算方法,通过扩充样本数据集并增强算法对节理裂隙特征区域的感知,提升模型鲁棒性;同时建议深入研究图像三维重建技术,提高节理裂隙三维特征的计算效率,使图机器视觉技术更好地服务于隧道施工建设。

隧道网版权及免责声明:

凡本网注明“来源:隧道网”的所有作品,版权均属于隧道网,未经本网授权,不得转载、摘编或以其它方式使用上述作品。已经本网授权使用作品的,须在授权范围内使用,并注明“来源:隧道网”。违反上述声明者,本网将保留追究其相关法律责任的权利。凡本网来源注明为非隧道网的作品,均转载自其它媒体,转载目的在于传递更多信息,该文章仅代表作者观点,并不代表本网赞同其观点或对其真实性负责,请读者自行核实相关内容,仅作参考。如因作品内容、版权和其它问题请与本网联系。

关键词

相关文章

网友评论

发表评论

发表评论 (回复限1000字以内!)

加载更多...


隧道网手机版
隧道网微信公众号
╳ 关闭